考研数学公式总结,建议收藏!
2020/8/14 13:35:23
来源: 网络
为了帮助考研er更好的进行数学部分的复习,海天考研小编整理了考研数学的公式,建议大家收藏。
导数公式

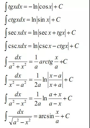
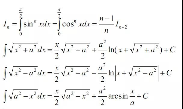
基本积分表公式


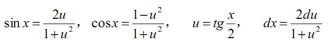
三角函数的有理式积分公式

初等函数公式

极限公式

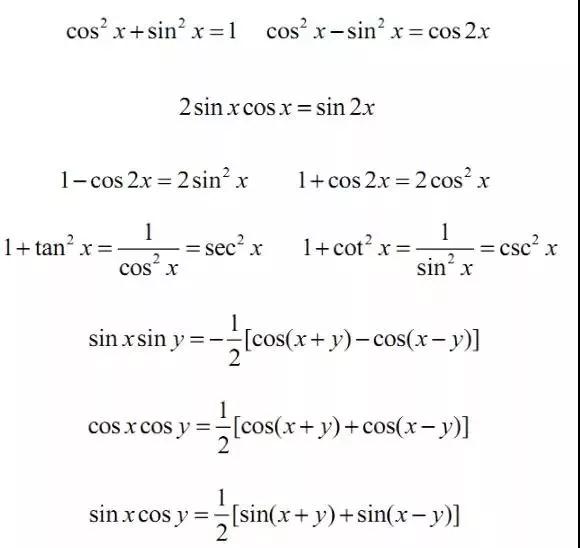
三角函数公式

三角函数诱导公式

常用三角函数公式

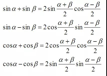
和差化积公式

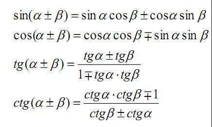
和差角公式

反三角函数公式

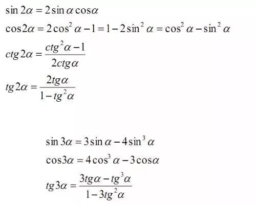
倍角公式

半角公式

布莱尼兹公式

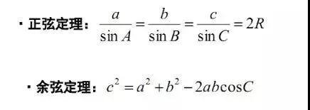
正余弦定理公式


热门推荐





